中国科学院宁波材料技术与工程研究所等在下一代锂电池高比容量富锂锰基正极材料研究方面取得突破性进展。研究发现,这种正极材料在受热时会“收缩”,而这种“收缩”行为可以帮助老化的电池恢复电压,实现电池“返老还童”。这为开发更智能、更耐用的下一代锂电池提供了全新思路。
要更大限度地提高电动汽车和电动航空器等的续航里程,必须发展下一代高比能锂电池技术。因此,发展高比容量、高电压正极材料以提升锂电池能量密度成为研究热点。富锂锰基正极材料具有氧阴离子氧化还原的额外容量,且其放电比容量高达300mAh/g,远超目前商业化应用的磷酸铁锂和三元材料等正极材料,可将电池能量密度提升30%以上。同时,富锂锰基正极材料具有成本优势。因此,富锂锰基正极材料是下一代锂电池正极材料方向,成为正极材料领域主要研究方向之一。富锂锰基正极材料拥有超高的放电比容量,但作为氧活性正极材料在实际使用中存在问题,即经过多次充放电后富锂锰基电池的电压逐渐下降,出现老化现象,使得富锂锰基电池目前难以获得实际应用。因此,如何让富锂锰基电池既保持高能量密度又能够长期稳定工作,成为亟待解决的难题。
自然界中,氧元素主要以固体氧化物中的氧离子和氧气分子两种形式存在。在氧活性正极材料中,氧离子在氧化反应中失去电子,并倾向于结合形成氧气分子。这一过程导致材料晶格中的氧离子位置发生变化,从而破坏原有的有序结构。同时,这种结构变化使后续的还原反应变得滞后。同样地,在使用具有氧活性的富锂锰基正极材料的锂电池中,氧离子在经历滞后的还原反应后,充电时注入的能量会超过放电时释放的能量,导致部分能量未能有效释放。这时,尽管电池显示为“没电”,但实际上仍有部分能量以晶格扭曲和结构无序的形式储存在于材料中。此时,富锂锰基正极材料料处于一种亚稳态,类似于弹簧被压缩或拉伸后的状态,即虽然看起来稳定,但内部储存了额外能量并随时可能释放。正是这种能量的过度储存导致富锂锰基电池性能使用寿命和效率大打折扣。
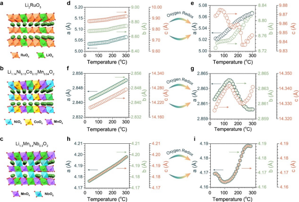
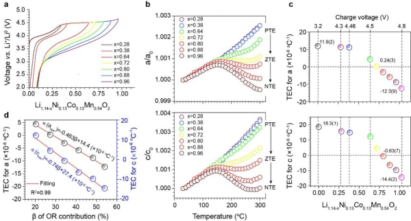
如何解决这一问题?该研究揭示了富锂锰基正极材料的性质:它在受热时反而收缩即“负热膨胀”。 研究发现,对富锂锰基正极材料进行适当升温可以消除外部应力对材料结构的影响,使材料从无序状态恢复到更稳定、能量更低的有序结构。在这一过程中,该正极材料的原子排列变得更紧密,导致体积缩小,表现出“遇热收缩”特性。同时,通过调节该正极材料的氧活性,可以灵活控制其热膨胀系数,使其在正、零、负之间切换。这为量化富锂锰基正极材料的结构无序提供了新方法,并帮助研究人员设计出“零热膨胀”正极材料。这种新型正极材料在温度变化时几乎不会发生体积变化,有望解决因温度波动导致的锂电池寿命缩短等问题,为下一代高比能锂电池技术的发展提供了新的可能性。
进一步,该研究发展出通过电化学手段让老化的富锂锰基电池“返老还童”的新方法。该方法利用电化学和热化学驱动力的相似性,将富锂锰基正极材料从结构无序、不稳定的状态“重置”回接近原始的结构有序状态,如同让电池“恢复青春”一样。基于此,研究提出了简单的修复策略,通过让富锂锰基电池在不充满电的条件下持续循环数次后,可使电池的平均放电电压恢复到接近100%,同时修复富锂锰基正极材料的结构损伤。同时,研究提出通过智能调控充电策略,可定期修复富锂锰基正极材料的结构问题,进而显著延长电池使用寿命的新思路。
上述研究揭示了富锂锰基正极材料的受热收缩特性与电池工作机制之间的内在联系,并提出利用这一特性让老化电池恢复性能的新方法。这一成果为高比能电池技术进一步发展提供了科学依据,有望改变未来电池的设计和使用方式。
4月16日,相关研究成果以《电池材料的氧活性与负热膨胀性》(Negative thermal expansion and oxygen-redox electrochemistry)为题,发表在《自然》(Nature)上。第一完成单位和通讯单位为宁波材料所,合作单位为美国芝加哥大学等。
论文链接

富锂锰基正极材料及基于富锂锰基正极和硅碳负极的高比能锂离子电池

阴/阳离子活性中心与材料热膨胀性的关系示意图

富锂正极材料的氧活性与负热膨胀性

富锂锰基正极材料中氧活性与负热膨胀系数之间的定量关系图
中国科学院宁波材料技术与工程研究所等在下一代锂电池高比容量富锂锰基正极材料研究方面取得突破性进展。研究发现,这种正极材料在受热时会“收缩”,而这种“收缩”行为可以帮助老化的电池恢复电压,实现电池“返老还童”。这为开发更智能、更耐用的下一代锂电池提供了全新思路。要更大限度地提高电动汽车和电动航空器等的续航里程,必须发展下一代高比能锂电池技术。因此,发展高比容量、高电压正极材料以提升锂电池能量密度成为研究热点。富锂锰基正极材料具有氧阴离子氧化还原的额外容量,且其放电比容量高达300mAh/g,远超目前商业化应用的磷酸铁锂和三元材料等正极材料,可将电池能量密度提升30%以上。同时,富锂锰基正极材料具有成本优势。因此,富锂锰基正极材料是下一代锂电池正极材料方向,成为正极材料领域主要研究方向之一。富锂锰基正极材料拥有超高的放电比容量,但作为氧活性正极材料在实际使用中存在问题,即经过多次充放电后富锂锰基电池的电压逐渐下降,出现老化现象,使得富锂锰基电池目前难以获得实际应用。因此,如何让富锂锰基电池既保持高能量密度又能够长期稳定工作,成为亟待解决的难题。自然界中,氧元素主要以固体氧化物中的氧离子和氧气分子两种形式存在。在氧活性正极材料中,氧离子在氧化反应中失去电子,并倾向于结合形成氧气分子。这一过程导致材料晶格中的氧离子位置发生变化,从而破坏原有的有序结构。同时,这种结构变化使后续的还原反应变得滞后。同样地,在使用具有氧活性的富锂锰基正极材料的锂电池中,氧离子在经历滞后的还原反应后,充电时注入的能量会超过放电时释放的能量,导致部分能量未能有效释放。这时,尽管电池显示为“没电”,但实际上仍有部分能量以晶格扭曲和结构无序的形式储存在于材料中。此时,富锂锰基正极材料料处于一种亚稳态,类似于弹簧被压缩或拉伸后的状态,即虽然看起来稳定,但内部储存了额外能量并随时可能释放。正是这种能量的过度储存导致富锂锰基电池性能使用寿命和效率大打折扣。如何解决这一问题?该研究揭示了富锂锰基正极材料的性质:它在受热时反而收缩即“负热膨胀”。 研究发现,对富锂锰基正极材料进行适当升温可以消除外部应力对材料结构的影响,使材料从无序状态恢复到更稳定、能量更低的有序结构。在这一过程中,该正极材料的原子排列变得更紧密,导致体积缩小,表现出“遇热收缩”特性。同时,通过调节该正极材料的氧活性,可以灵活控制其热膨胀系数,使其在正、零、负之间切换。这为量化富锂锰基正极材料的结构无序提供了新方法,并帮助研究人员设计出“零热膨胀”正极材料。这种新型正极材料在温度变化时几乎不会发生体积变化,有望解决因温度波动导致的锂电池寿命缩短等问题,为下一代高比能锂电池技术的发展提供了新的可能性。进一步,该研究发展出通过电化学手段让老化的富锂锰基电池“返老还童”的新方法。该方法利用电化学和热化学驱动力的相似性,将富锂锰基正极材料从结构无序、不稳定的状态“重置”回接近原始的结构有序状态,如同让电池“恢复青春”一样。基于此,研究提出了简单的修复策略,通过让富锂锰基电池在不充满电的条件下持续循环数次后,可使电池的平均放电电压恢复到接近100%,同时修复富锂锰基正极材料的结构损伤。同时,研究提出通过智能调控充电策略,可定期修复富锂锰基正极材料的结构问题,进而显著延长电池使用寿命的新思路。上述研究揭示了富锂锰基正极材料的受热收缩特性与电池工作机制之间的内在联系,并提出利用这一特性让老化电池恢复性能的新方法。这一成果为高比能电池技术进一步发展提供了科学依据,有望改变未来电池的设计和使用方式。4月16日,相关研究成果以《电池材料的氧活性与负热膨胀性》(Negative thermal expansion and oxygen-redox electrochemistry)为题,发表在《自然》(Nature)上。第一完成单位和通讯单位为宁波材料所,合作单位为美国芝加哥大学等。论文链接富锂锰基正极材料及基于富锂锰基正极和硅碳负极的高比能锂离子电池阴/阳离子活性中心与材料热膨胀性的关系示意图富锂正极材料的氧活性与负热膨胀性富锂锰基正极材料中氧活性与负热膨胀系数之间的定量关系图